2013年10月7日至12日,受国家文化部委派,以金陵图书馆馆长严峰为团长的中国金陵图书馆专家代表团一行4人(教育培训部主任刘宁珏、副主任丁亮以及特藏部馆员周樱格)赴加纳首都阿克拉,与加政府教育部门官员举行会谈。
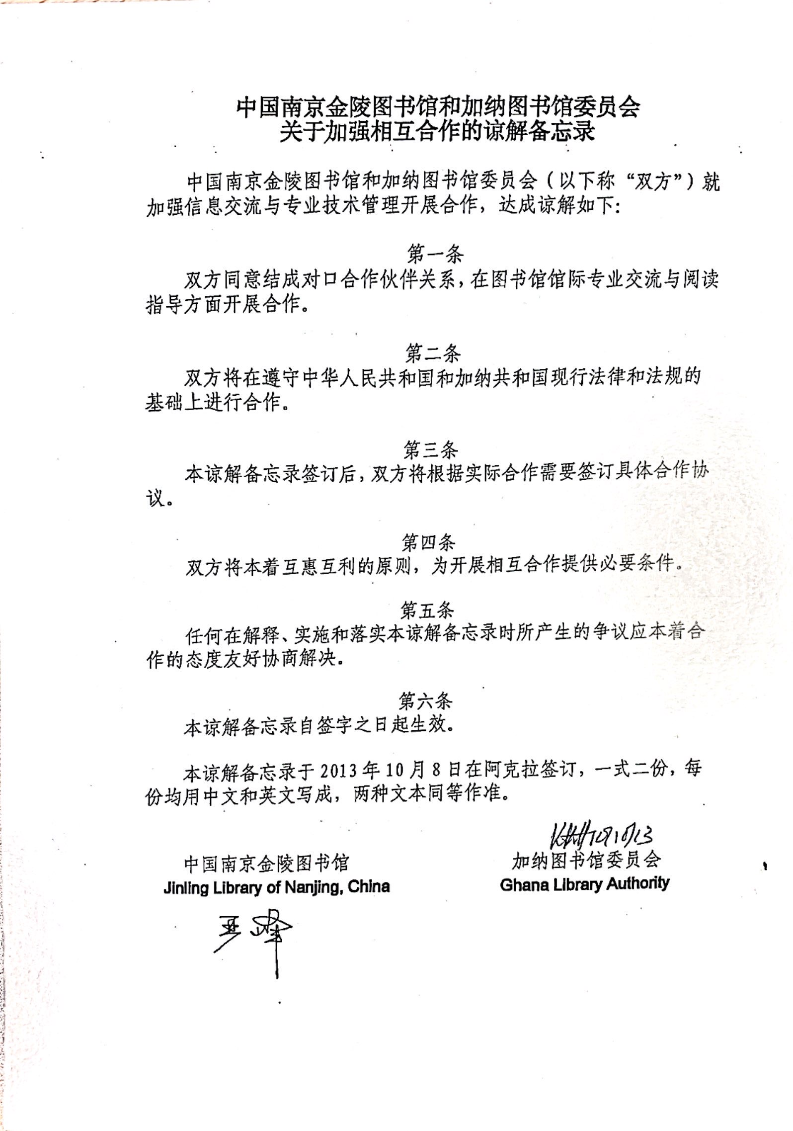
期间,金陵图书馆与加纳图书馆委员会签署了双边友好合作谅解备忘录,并就建立出版物交换关系、书目著录标准化培训、图书馆计算机自动化管理和珍贵文献保护与修复技术培训等合作事项进行了仔细深入的探讨商议。
金陵图书馆此次首批向加纳图书馆委员会赠送了100本中国近期出版的英文图书,内容主要包括中国经典文学名著、中国知名作家著作、介绍南京的著作以及儿童文学著作。加纳教育部副部长亚历克斯(Hon. Alex Kyeremeh)和中国龚建忠大使出席了签字仪式。在图书赠送仪式上,严峰馆长表示,希望通过与加方的合作,在加纳图书馆中设立“中国图书之窗”的形式,让加纳人民更了解中国,用知识的力量带动文化的交流,促进中国加纳人民友谊深入发展。
这是金陵图书馆与非洲国家图书馆建立的第二个友好合作项目,这也是为落实中非文化交流与合作3年北京行动计划,推动中非各100家文化机构开展长期对口合作,并以此为平台全面加大中非文化领域的人力资源开发与合作,协助非洲国家发展文化事业的一项具有实质性意义的行动。

报道链接:http://www.jllib.cn/gxsy/yexx/202112/t20211221_53167.html
附:《中国南京金陵图书馆和加纳图书馆委员会关于加强相互合作的谅解备忘录》(中英版)



